Page 214 - Demo
P. 214
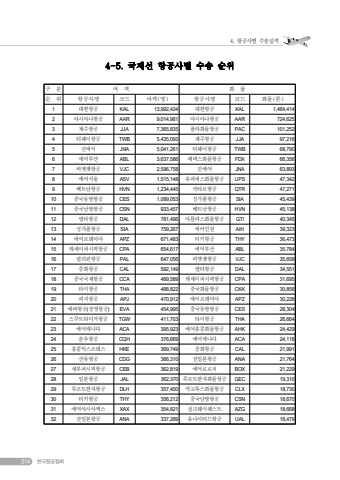
4. %ud56d%uacf5%uc0ac%ubcc4 %uc218%uc1a1%uc2e4%uc801%u257b 169 %u257b4-5. %uad6d%uc81c%uc120 %ud56d%uacf5%uc0ac%ubcc4 %uc218%uc1a1 %uc21c%uc704%uad6c %ubd84 %uc5ec %uac1d %ud654 %ubb3c%uc21c %uc704 %ud56d%uacf5%uc0ac%uba85 %ucf54%ub4dc %uc5ec%uac1d(%uba85) %ud56d%uacf5%uc0ac%uba85 %ucf54%ub4dc %ud654%ubb3c(%ud1a4)1 %ub300%ud55c%ud56d%uacf5 KAL 13,992,424 %ub300%ud55c%ud56d%uacf5 KAL 1,464,414 2 %uc544%uc2dc%uc544%ub098%ud56d%uacf5 AAR 9,014,981 %uc544%uc2dc%uc544%ub098%ud56d%uacf5 AAR 724,625 3 %uc81c%uc8fc%ud56d%uacf5 JJA 7,365,835 %ud3f4%ub77c%ud654%ubb3c%ud56d%uacf5 PAC 101,252 4 %ud2f0%uc6e8%uc774%ud56d%uacf5 TWB 5,435,093 %uc81c%uc8fc%ud56d%uacf5 JJA 97,216 5 %uc9c4%uc5d0%uc5b4 JNA 5,041,261 %ud2f0%uc6e8%uc774%ud56d%uacf5 TWB 68,790 6 %uc5d0%uc5b4%ubd80%uc0b0 ABL 3,637,586 %ud398%ub371%uc2a4%ud654%ubb3c%ud56d%uacf5 FDX 66,356 7 %ube44%uc5e3%uc82f%ud56d%uacf5 VJC 2,596,758 %uc9c4%uc5d0%uc5b4 JNA 63,893 8 %uc5d0%uc5b4%uc11c%uc6b8 ASV 1,515,148 %uc720%ud53c%uc5d0%uc2a4%ud654%ubb3c%ud56d%uacf5 UPS 47,342 9 %ubca0%ud2b8%ub0a8%ud56d%uacf5 HVN 1,234,445 %uce74%ud0c0%ub974%ud56d%uacf5 QTR 47,271 10 %uc911%uad6d%ub3d9%ubc29%ud56d%uacf5 CES 1,089,053 %uc2f1%uac00%ud3f4%ud56d%uacf5 SIA 45,439 11 %uc911%uad6d%ub0a8%ubc29%ud56d%uacf5 CSN 933,457 %ubca0%ud2b8%ub0a8%ud56d%uacf5 HVN 45,138 12 %ub378%ud0c0%ud56d%uacf5 DAL 781,496 %uc544%ud2c0%ub77c%uc2a4%ud654%ubb3c%ud56d%uacf5 GTI 40,345 13 %uc2f1%uac00%ud3f4%ud56d%uacf5 SIA 759,267 %uc5d0%uc5b4%uc778%ucc9c AIH 39,323 14 %uc5d0%uc5b4%ud504%ub808%ubbf8%uc544 APZ 671,483 %ud130%ud0a4%ud56d%uacf5 THY 36,473 15 %uce90%uc138%uc774%ud37c%uc2dc%ud53d%ud56d%uacf5 CPA 654,617 %uc5d0%uc5b4%ubd80%uc0b0 ABL 35,784 16 %ud544%ub9ac%ud540%ud56d%uacf5 PAL 647,056 %ube44%uc5e3%uc82f%ud56d%uacf5 VJC 35,658 17 %uc911%ud654%ud56d%uacf5 CAL 592,149 %ub378%ud0c0%ud56d%uacf5 DAL 34,551 18 %uc911%uad6d%uad6d%uc81c%ud56d%uacf5 CCA 489,589 %uce90%uc138%uc774%ud37c%uc2dc%ud53d%ud56d%uacf5 CPA 31,695 19 %ud0c0%uc774%ud56d%uacf5 THA 488,822 %uc911%uad6d%ud654%ubb3c%ud56d%uacf5 CKK 30,858 20 %ud53c%uce58%ud56d%uacf5 APJ 470,912 %uc5d0%uc5b4%ud504%ub808%ubbf8%uc544 APZ 30,228 21 %uc5d0%ubc14%ud56d%uacf5(%uc7a5%uc601%ud56d%uacf5) EVA 454,995 %uc911%uad6d%ub3d9%ubc29%ud56d%uacf5 CES 28,304 22 %uc2a4%ucfe0%ud2b8%ud0c0%uc774%uac70%ud56d%uacf5 TGW 411,703 %ud0c0%uc774%ud56d%uacf5 THA 26,664 23 %uc5d0%uc5b4%uce90%ub098%ub2e4 ACA 395,923 %uc5d0%uc5b4%ud64d%ucf69%ud654%ubb3c%ud56d%uacf5 AHK 24,429 24 %ucd98%ucd94%ud56d%uacf5 CQH 376,669 %uc5d0%uc5b4%uce90%ub098%ub2e4 ACA 24,118 25 %ud64d%ucf69%uc775%uc2a4%ud504%ub808%uc2a4 HKE 369,749 %uc911%ud654%ud56d%uacf5 CAL 21,991 26 %uc0b0%ub3d9%ud56d%uacf5 CDG 366,310 %uc804%uc77c%ubcf8%ud56d%uacf5 ANA 21,764 27 %uc138%ubd80%ud37c%uc2dc%ud53d%ud56d%uacf5 CEB 362,819 %uc5d0%uc5b4%ub85c%ub85c%uc9c1 BOX 21,229 28 %uc77c%ubcf8%ud56d%uacf5 JAL 362,370 %ub8e8%ud504%ud2b8%ud55c%uc790%ud654%ubb3c%ud56d%uacf5 GEC 19,310 29 %ub8e8%ud504%ud2b8%ud55c%uc790%ud56d%uacf5 DLH 357,400 %uce74%uace0%ub8e9%uc2a4%ud654%ubb3c%ud56d%uacf5 CLX 18,730 30 %ud130%ud0a4%ud56d%uacf5 THY 356,212 %uc911%uad6d%ub0a8%ubc29%ud56d%uacf5 CSN 18,670 31 %uc5d0%uc5b4%uc544%uc2dc%uc544%uc5d1%uc2a4 XAX 354,821 %uc2e4%ud06c%uc6e8%uc774%uc6e8%uc2a4%ud2b8 AZG 18,668 32 %uc804%uc77c%ubcf8%ud56d%uacf5 ANA 337,289 %uc720%ub098%uc774%ud2f0%ub4dc%ud56d%uacf5 UAL 18,479 214 %ud55c%uad6d%ud56d%uacf5%ud611%ud68c

